
今回はT型アッテネータのお話です。
前回(#076 EMI対策 ~抵抗減衰器(アッテネータ)~)は信号源出力から見た インピーダンスZOを式で表現するところまで説明した。
T型アッテネータは以下のような構成になり、信号源の出力インピーダンスと負荷インピーダンスをZOとし、さらに信号源出力から見たインピーダンスもZOに見えるようにR1とR2を決めるのじゃったな。



昇平博士、次は何を調べればいいの?
そうじゃな、電圧減衰率Kについて考えてみよう。
T型アッテネータの入力電圧は、信号源の出力電圧Vであり、負荷ZOにはVOが出力される。 このアッテネータ回路の信号源出力電圧Vを基準にしたときの負荷端電圧VOは、電圧減衰率とよぶことができ、式を展開するとIとIZOの電流減衰率に置き換えることができる。
さらに電圧減衰率×電流減衰率とすれば電力減衰率K2で表現することができるのじゃ。
Kがとる範囲は減衰率なので0<K<1となる。


次に希望する電圧減衰率KとZOだけでT型アッテネータの抵抗値R1とR2を求めてみよう。
以下手順に沿って、文字を使った四則演算じゃ。
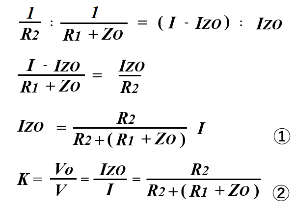
① R1、R2、ZO、IでIZOを表現するのじゃ。R2とR1+ZO各々に流れる電流の比でIZOを 求めることができる。
② KはIZO/Iで表現できるので①の結果を使ってKを表現するのじゃ。


昇平博士、以下のような式ができました。

よしよし、いい感じじゃ。
なみりん、前回の最後に示した信号源出力から見たインピーダンスZOの式を覚えておるかの? Kを使ってZOの式を表現することでR1を求めてみるのじゃ。


はい、信号源出力から見たインピーダンスZOですね。
あらら!?展開していくうちにR1が求まったわ。

そのとおり、残りのR2は、②式から求めることができる。


以下のとおり、R2も文字式で表現できました。

なみりん、これで電圧減衰率KとインピーダンスZOだけでR1とR2を求めることができるようになったな。電力減衰率K2の場合は、平方根をとってKに戻すことで同じようにR1とR2を求めることができるぞ。
次回は、実際にT型アッテネータを組んでみよう。
